Делитель напряжения
Сообщений 1 страница 2 из 2
Поделиться209.02.2020 16:30:28
Делитель напряжения на резисторах, конденсаторах и индуктивностях
С целью получения фиксированного значения напряжения, равного доле от исходного значения, в электрических цепях применяют делители напряжения. Делители напряжения могут состоять из двух или более элементов, которыми могут служить резисторы либо реактивные сопротивления (конденсаторы или катушки индуктивности).
Делитель напряжения — комбинация из сопротивлений, служащая для того, чтобы разделить подводимое напряжение на части.
В простейшем виде делитель напряжения представляется парой участков электрической цепи, соединенных последовательно друг с другом, которые и называются плечами делителя. Верхним плечом называется тот участок, который расположен между точкой положительного напряжения и выбранной точкой соединения участков, а нижним плечом — участок между точкой соединения (выбранной точкой, нулевой точкой) и общим проводом.
Делители напряжения на резисторах
Конечно, делители напряжения могут применяться как в цепях постоянного тока, так и в цепях тока переменного. Делители на резисторах подходят и для тех, и для других цепей, однако используются они только в цепях низкого напряжения. Для питания устройств делители напряжения на резисторах не применяют.
В простейшем виде резистивный делитель напряжения состоит всего из пары резисторов, соединенных последовательно. Делимое напряжение подается на делитель, в результате на каждом резисторе падает определенная доля этого напряжения, пропорциональная номиналу резистора. Сумма падений напряжений равна здесь напряжению подаваемому на делитель.
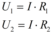
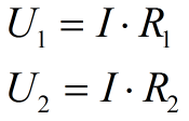
Согласно закону Ома для участка электрической цепи, на каждом резисторе падение напряжения будет прямо пропорционально току и величине сопротивления резистора. А согласно первому правилу Кирхгофа, ток через данную цепь будет везде один и тот же. Так, на каждый резистор придутся падения напряжения:
Падения напряжения на резисторах
И напряжение на концах участка цепи будет равно:
Напряжение на концах участка цепи
А ток в цепи делителя составит:
Ток в цепи делителя напряжения
Теперь если подставить выражение для тока в формулы для падений напряжений на резисторах, то получим формулы для нахождения величин напряжений на каждом из резисторов делителя:
Формулы для нахождения величин напряжений на каждом из резисторов делителя
Подбирая величины сопротивлений R1 и R2 можно выделить любую часть всего подводимого напряжения. В том случае, когда напряжение нужно разделить на несколько частей, последовательно с источником напряжения включается несколько сопротивлений.
Используя делитель напряжения на резисторах для тех или иных целей, важно понимать, что присоединенная к одному из плеч делителя нагрузка, будь то измерительный прибор или что-нибудь другое, должна иметь собственное сопротивление значительно большее, чем общее сопротивление резисторов, образующих делитель. В противном случае сопротивление нагрузки само должно учитываться в расчетах, будучи рассмотрено как параллельный плечу резистор, входящий в состав делителя.
Пример: есть источник постоянного напряжения 5 вольт, необходимо подобрать к нему резисторы для делителя напряжения, чтобы снимать с делителя измерительный сигнал величиной в 2 вольта. Допустимая рассеиваемая на делителе мощность не должна превышать 0,02 Вт.
Резисторы для делителя напряжения
Решение: Пусть максимальная мощность, рассеиваемая на делителе, равна 0,02 Вт, тогда минимальное общее сопротивление делителя при 5 вольтах найдем из закона Ома, оно получится равно 1250 Ом. Пусть 1,47 кОм — выбранное нами общее сопротивление делителя, тогда 2 вольта упадет на 588 омах. Выберем постоянный резистор на 470 Ом и переменный на 1 кОм. Установим на переменном резисторе значение в 588 Ом.
Делители напряжения на резисторах широко применяются сегодня в электронных схемах. На этих схемах значения величин резисторов для делителей выбираются исходя из параметров активных элементов схем. Как правило, делители стоят в измерительных цепях схем, в цепях обратной связи преобразователей напряжения и т. д. Минус таких решений заключается в том, что резисторы рассеивают на себе мощность в виде тепла, однако целесообразность оправдывает эти малые потери энергии.
Делители напряжения на конденсаторах
В цепях переменного тока, в высоковольтных схемах, применяют делители напряжения на конденсаторах. Здесь используется реактивный характер сопротивления конденсаторов в цепях переменного тока. Величина реактивного сопротивления конденсатора в цепи переменного тока зависит от электроемкости конденсатора и от частоты напряжения. Вот формула для нахождения этого сопротивления:
Делитель напряжения на двух конденсаторах
Формула свидетельствует о том, что чем больше электроемкость конденсатора — тем его реактивное (емкостное) сопротивление меньше и чем выше частота — тем так же меньше реактивное сопротивление. Такие делители используются в измерительных схемах цепей переменного тока, падения напряжений на плечах считается аналогично случаю с постоянными активными сопротивлениями (резисторами, см. выше).
Достоинство конденсаторов, применяемых в делителях, состоит в том, что рассеивание энергии в форме тепла получается минимальным, и зависит только от качества диэлектрика.
Делитель напряжения на индуктивностях
Индуктивный делитель напряжения — еще один вид делителей, применяемых в измерительной электронике переменного тока, особенно в низковольтных схемах, работающих на высоких частотах. Сопротивление катушек для переменного тока высокой частоты носит преимущественно реактивный (индуктивный) характер, оно находится по формуле:
Делитель напряжения на двух индуктивностях
Формула свидетельствует о том, что чем больше индуктивность и чем выше частота — тем выше сопротивление катушки переменному току. Здесь важно понимать, что провод катушки имеет активное сопротивление, поэтому мощность, рассеиваемая в виде тепла, свойственная делителю на индуктивностях, значительно выше, чем у делителей на конденсаторах.
В любительской электронике делители напряжения часто используются при подключении аналоговых датчиков к модулям Ардуино.