Кодовая маркировка
В соответствии со стандартами IEC на практике применяется четыре способа кодировки номинальной емкости.
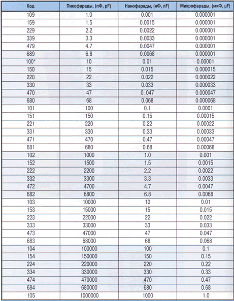
1. Кодировка тремя цифрами
Первые две цифры указывают на значение емкости в пикофарадах (пФ), последняя — количество нулей. Когда конденсатор имеет емкость менее 10 пФ, то последняя цифра может быть "9". При емкостях меньше 1.0 пФ первая цифра "0". Буква R используется в качестве десятичной запятой. Например, код 010 равен 1.0 пФ, код 0R5 — 0.5 пФ.
Таблица 1

* Иногда последний ноль не указывают.
2. Кодировка четырьмя цифрами
Возможны варианты кодирования 4-значным числом. Но и в этом случае последняя цифра указывает количество нулей, а первые три — емкость в пикофарадах (pF).
Таблица 2

3. Маркировка ёмкости в микрофарадах
Вместо десятичной точки может ставиться буква R.
4. Смешанная буквенно-цифровая маркировка ёмкости, допуска, ТКЕ, рабочего напряжения
В отличие от первых трех параметров, которые маркируются в соответствии со стандартами, рабочее напряжение у разных фирм имеет различную буквенно-цифровую маркировку.
Примеры:



Отредактировано Egor1ca (13.03.2020 18:31:55)