


Отредактировано викНик (23.02.2020 07:29:04)
МЕХЗАВОД|Ремонт бытовой техники и электроники cвоими руками |
Привет, Гость! Войдите или зарегистрируйтесь.
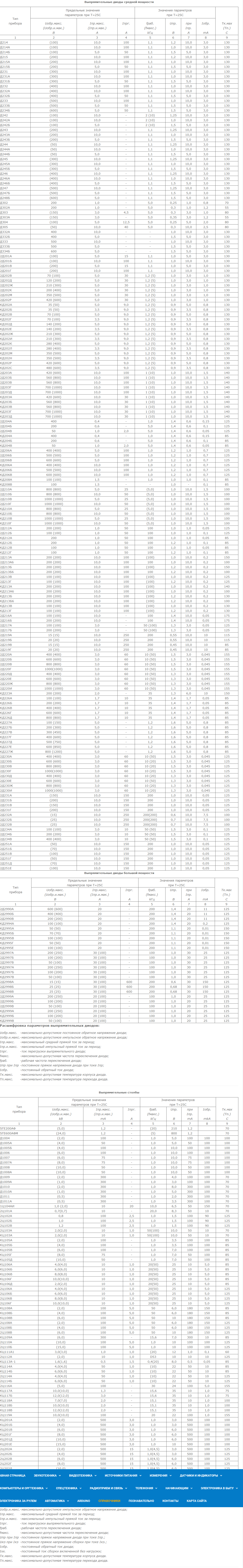
Вы здесь » МЕХЗАВОД|Ремонт бытовой техники и электроники cвоими руками » Диоды » Справочные данные диодов



Отредактировано викНик (23.02.2020 07:29:04)
Вы здесь » МЕХЗАВОД|Ремонт бытовой техники и электроники cвоими руками » Диоды » Справочные данные диодов