
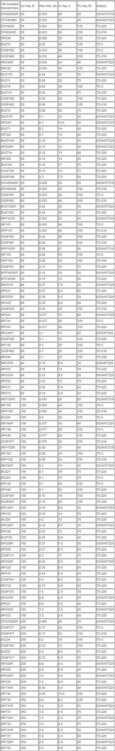
Импортные мощные полевые транзисторы (таблица 1)
Сообщений 1 страница 2 из 2
Поделиться204.01.2022 17:59:43
Корпус - это основная и самая габаритная часть конструкции абсолютно любого полупроводникового прибора, выполняющая защитную функцию от внешних воздействий и используемая также для соединения с внешними электрическими цепями с помощью металлических выводов. Типы корпусов зарубежных транзисторов стандартизованы для простоты процесса изготовления и применения изделий в радиолюбительской практике. Число типичных полупроводниковых приборов в настоящее время исчисляется сотнями, если уже не тысячами.
На рисунке ниже представлены самые популярные и распространенные серии зарубежных транзисторов. Для просмотра чертежей в более информативном формате имеется более крупная справочная подборка самых популярных типов, после упомянутых рисунков.
